题目内容
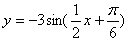
下图为函数y=Asin (ωx+ φ)的一段图象,
(1)请写出这个函数的一个解析式;
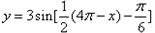
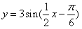
(2)求与(1)中函数图象关于直线x=2π对称的函数图象的解析式,并作出它一个周期内的简图。
(1)请写出这个函数的一个解析式;
(2)求与(1)中函数图象关于直线x=2π对称的函数图象的解析式,并作出它一个周期内的简图。
解:(1)
,
∴
,
又A=3,由
的图象过
,
∴
(为其中一个值),
∴
为所求。
(2)设(x,y)为所求函数图象上任意一点,该点关于直线x=2π对称点为(4π-x,y),
则点(4π-x,y)必在函数
的图象上,
∴
,即
,
∴与
的图象关于直线x=2π对称的函数图象的解析式是
,
列表:

作图:
。
∴
又A=3,由
∴
∴
(2)设(x,y)为所求函数图象上任意一点,该点关于直线x=2π对称点为(4π-x,y),
则点(4π-x,y)必在函数
∴
∴与
列表:
作图:
练习册系列答案
相关题目