题目内容
在长方体ABCD-A1B1C1D1中,AA1=AD=2AB.若E,F分别为线段A1D1,CC1的中点,则直线EF与平面ADD1A1所成角的正弦值为( )A.
B.
C.
D.
【答案】分析:取BB1中点为N,连接FN,取FN中点为M,连接A1M,A1F,易得∠MA1N为直线EF与平面ABB1A1所成角,解△MA1N即可求出直线EF与平面ABB1A1所成角的余弦值,进而可求正弦值.
解答:解:取BB1中点为N,连接FN,取FN中点为M,连接A1M,A1F 易得EF∥A1M,EF=A1M
∵A1F是EF在面A1ABB1上的投影.
∴∠MA1N为所求的角.令AB=1,
在△MA1N中,
,
,
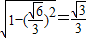
则cos∠MA1N=
,所以sin∠MA1N=
.
故选C
点评:本题考查的知识点是直线与平面所成的角,其中构造出线面夹角的平面角是解答本题的关键.
解答:解:取BB1中点为N,连接FN,取FN中点为M,连接A1M,A1F 易得EF∥A1M,EF=A1M
∵A1F是EF在面A1ABB1上的投影.
∴∠MA1N为所求的角.令AB=1,
在△MA1N中,
则cos∠MA1N=
故选C
点评:本题考查的知识点是直线与平面所成的角,其中构造出线面夹角的平面角是解答本题的关键.
练习册系列答案
相关题目