题目内容
(2009安徽卷文)(本小题满分12分)
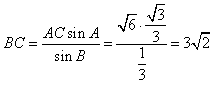
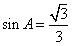
在ABC中,C-A=, sinB=。
(I)求sinA的值;
(II)设AC=,求ABC的面积。
(本小题满分12分) 在ABC中,C-A=, sinB=。www.7caiedu.cn
(II)设AC=,求△ABC的面积。