题目内容
在平面直角坐标系中,O为坐标原点,点A(-1,-2)、B(2,3)、C(-2,-1)。
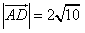
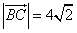
(1)求以线段AB、AC为邻边的平行四边形两条对角线的长;
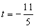
(2) 设实数t满足
,求t的值。
(1)求以线段AB、AC为邻边的平行四边形两条对角线的长;
(2) 设实数t满足
解:(1)由题意,得
,
所以
,即
,
所以
,即
。
(2)由题设,知
=(-2,-1),
,
由
,得
,
从而
,
所以
。
所以
所以
(2)由题设,知
由
从而
所以
练习册系列答案
相关题目