题目内容
已知函数(1)求函数f(x)的导函数f′(x);求导函数f′(x)的值域;
(2)证明:①a>b,②a+f(a)>b+f(b).
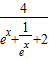
【答案】分析:(1)可求得f′(x)=
,转化为f′(x)=
,利用基本不等式可求导函数f′(x)的值域;
(2)①构造函数g(x)=f(x)-x,利用g′(x)可判断g(x)在R上是减函数,由a>t可得,g(a)<g(t)=0,从而可证a>b;
②构造h(x)=f(x)+x,由h′(x)=f′(x)+1≥0可得h(x)在R上是增函数,又a>b,h(a)>h(b),从而可证a+f(a)>b+f(b).
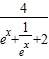
解答:解:(1)f′(x)=
=
≤1,导函数f′(x)的值域(0,1],
(2)设g(x)=f(x)-x,则g′(x)=f′(x)-1≤0,所以g(x)在R上是减函数,
∵a>t,方程f(x)=x的一个根为t,即g(t)=0,
∴g(a)<g(t)=0,而g(a)=f(a)-a
∴f(a)-a<0,f(a)<a,f(a)=b,即a>b;
设h(x)=f(x)+x,则h′(x)=f′(x)+1≥0,
∴h(x)在R上是增函数,又a>b,
∴h(a)>h(b),
即a+f(a)>b+f(b).
点评:本题考查利用导数研究函数的单调性,着重考查基本不等式的应用,突出考查构造函数的方法,函数与方程思想,化归思想的综合应用,属于难题.
(2)①构造函数g(x)=f(x)-x,利用g′(x)可判断g(x)在R上是减函数,由a>t可得,g(a)<g(t)=0,从而可证a>b;
②构造h(x)=f(x)+x,由h′(x)=f′(x)+1≥0可得h(x)在R上是增函数,又a>b,h(a)>h(b),从而可证a+f(a)>b+f(b).
解答:解:(1)f′(x)=
(2)设g(x)=f(x)-x,则g′(x)=f′(x)-1≤0,所以g(x)在R上是减函数,
∵a>t,方程f(x)=x的一个根为t,即g(t)=0,
∴g(a)<g(t)=0,而g(a)=f(a)-a
∴f(a)-a<0,f(a)<a,f(a)=b,即a>b;
设h(x)=f(x)+x,则h′(x)=f′(x)+1≥0,
∴h(x)在R上是增函数,又a>b,
∴h(a)>h(b),
即a+f(a)>b+f(b).
点评:本题考查利用导数研究函数的单调性,着重考查基本不等式的应用,突出考查构造函数的方法,函数与方程思想,化归思想的综合应用,属于难题.
练习册系列答案
相关题目