题目内容

设△ABC的内角A、B、C所对的边分别为a,b,c,若sinB+sinC=2sinA,3a=5c,则角B=(   )

A. 60            B. 90            C. 120           D.150

 

【答案】

C

【解析】

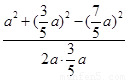
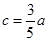
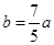
试题分析:∵3a=5c,∴ 又∵sinB+sinC=2sinA,根据正弦定理可得b+c=2a,所以b+=2a,即 ,由余弦定理可得 cosB===,所以B= 120,故选C.

考点:正弦定理和余弦定理

 

练习册系列答案
相关题目

违法和不良信息举报电话:027-86699610 举报邮箱:58377363@163.com

精英家教网