题目内容
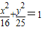
若双曲线C1与椭圆(1)求C2的实轴长和渐近线方程;
(2)求C1的方程.
【答案】分析:(1)由题意可得C2中:a=
,b=1,进而可得所求;
(2)法一:设所求的双曲线的方程为
,由题意可得关于λ的方程,解之可得;
法二:设C1:
,可得
,解之可得a,b,可得方程.
解答:解:(1)由题意可得C2中:a=
,b=1,
故实轴长为2a=
,渐近线方程
;…(5分)
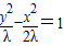
(2)法一:依题意可设所求的双曲线的方程为
…(6分)
即
…(7分)
又∵双曲线与椭圆
有相同的焦点,
∴λ+2λ=25-16=9解得λ=3…(11分)
∴C1的标准方程为
…(13分)
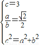
法二:设C1:
,…(6分)
可得
求得
…(11分)
∴C1的标准方程为
…(13分)
点评:本题考查双曲线与椭圆的简单性质,涉及圆锥曲线的基本运算,属中档题.
(2)法一:设所求的双曲线的方程为
法二:设C1:
解答:解:(1)由题意可得C2中:a=
故实轴长为2a=
(2)法一:依题意可设所求的双曲线的方程为
即
又∵双曲线与椭圆
∴λ+2λ=25-16=9解得λ=3…(11分)
∴C1的标准方程为
法二:设C1:
可得
∴C1的标准方程为
点评:本题考查双曲线与椭圆的简单性质,涉及圆锥曲线的基本运算,属中档题.
练习册系列答案
相关题目