题目内容
已知a1=2,点(an,an+1)在函数f(x)=x2+2x的图象上,其中n=1,2,3,…(1)证明数列{lg(1+an)}是等比数列;
(2)设Tn=(1+a1)(1+a2)…(1+an),求Tn及数列{an}的通项;
(3)记
【答案】分析:(1)把点(an,an+1)代入函数式,整理得an+1+1=(an+1)2,两边取对数整理得
,进而判断{lg(1+an)}是公比为2的等比数列.
(2)根据等比数列的通项公式求的数列{lg(1+an)}的通项公式,进而求的an代入到Tn=(1+a1)(1+a2)(1+an)求的Tn.
(3)把(2)求的an代入到
,用裂项法求和求得项
,又
,原式得证.
解答:解:(Ⅰ)由已知an+1=an2+2an,
∴an+1+1=(an+1)2
∵a1=2
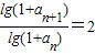
∴an+1>1,两边取对数得lg(1+an+1)=2lg(1+an),
即
∴{lg(1+an)}是公比为2的等比数列.
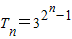
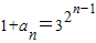
(Ⅱ)由(Ⅰ)知lg(1+an)=2n-1•lg(1+a1)=
∴
∴
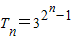
∴Tn=(1+a1)(1+a2)(1+an)=
=
=
(Ⅲ)∵an+1=an2+2an
∴an+1=an(an+2)
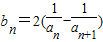
∴
∴
又
∴
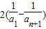
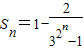
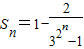
∴Sn=b1+b2++bn=
=
∵
∴
又
∴
.
点评:本题主要考查了等比关系的确定和数列的求和问题.考查了学生对数列知识的综合掌握.
(2)根据等比数列的通项公式求的数列{lg(1+an)}的通项公式,进而求的an代入到Tn=(1+a1)(1+a2)(1+an)求的Tn.
(3)把(2)求的an代入到
解答:解:(Ⅰ)由已知an+1=an2+2an,
∴an+1+1=(an+1)2
∵a1=2
∴an+1>1,两边取对数得lg(1+an+1)=2lg(1+an),
即
∴{lg(1+an)}是公比为2的等比数列.
(Ⅱ)由(Ⅰ)知lg(1+an)=2n-1•lg(1+a1)=
∴
∴Tn=(1+a1)(1+a2)(1+an)=
(Ⅲ)∵an+1=an2+2an
∴an+1=an(an+2)
∴
∴
又
∴
∴Sn=b1+b2++bn=
∵
∴
又
∴
点评:本题主要考查了等比关系的确定和数列的求和问题.考查了学生对数列知识的综合掌握.
练习册系列答案
相关题目