题目内容
(1)顶点C的坐标;
(2)直线BC的方程.
【答案】分析:(1)先求直线AC的方程,然后求出C的坐标.
(2)设出B的坐标,求出M代入直线方程为2x-y-5=0,与直线为x-2y-5=0.联立求出B的坐标然后可得直线BC的方程.
解答:
解:直线AC的方程为:
y-1=-2(x-5),
即2x+y-11=0,
解方程组
得
则C点坐标为(4,3).
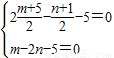
设B(m,n),
则M(
,
),
,
整理得
,
解得
则B点坐标为(-1,-3),
y-3=
(x-4),
即6x-5y-9=0.
点评:本题考查两条直线的交点,待定系数法求直线方程,是基础题.
(2)设出B的坐标,求出M代入直线方程为2x-y-5=0,与直线为x-2y-5=0.联立求出B的坐标然后可得直线BC的方程.
解答:
y-1=-2(x-5),
即2x+y-11=0,
解方程组
设B(m,n),
则M(
整理得
解得
y-3=
即6x-5y-9=0.
点评:本题考查两条直线的交点,待定系数法求直线方程,是基础题.
练习册系列答案
相关题目