题目内容
已知圆C的方程为x2+y2=r2,在圆C上经过点P(x,y)的切线方程为
【答案】分析:根据圆的切线方程,类比可得椭圆
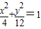
上经过点P(x,y)的切线方程为
,将(1,3)代入,即可求得结论.
解答:解:根据圆C上经过点P(x,y)的切线方程为
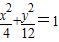
,类比可得椭圆
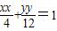
上经过点P(x,y)的切线方程为
∴椭圆
上经过点(1,3)的切线方程为
,即x+y-4=0
故答案为:x+y-4=0
点评:本题考查类比推理,考查学生分析解决问题的能力,属于基础题.
解答:解:根据圆C上经过点P(x,y)的切线方程为
∴椭圆
故答案为:x+y-4=0
点评:本题考查类比推理,考查学生分析解决问题的能力,属于基础题.
练习册系列答案
相关题目