题目内容
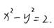
、中心在原点、焦点在x轴上的双曲线的实轴长与虚轴长相等,并且焦点到渐近线的距离为,则双曲线方程为___________。
解析
已知曲线C是中心在原点,焦点在x轴上的双曲线的右支,它的右准线方程l:x=,l与x轴交于E,一条渐近线方程是y=x,线段PQ是过曲线C右焦点F的一条弦.
(1)求曲线C的方程;
(2)若R为PQ中点,且在直线l的左侧能作出直线m:x=a,使点R在直线m上的射影S满足=0,当P在曲线C上运动时,求a的取值范围;
(3)若过P作PM∥x轴交l于M,连MQ交x轴于H,求证H平分EF.