题目内容
(1)求f(x)解析式;
(2)证明:f(x)为增函数;
(3)求不等式f(x-1)+f(x)<0的解.
【答案】分析:(1)由f(x)为奇函数,知b=0,由
,知a=1,由此能求出f(x)解析式.
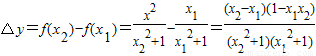
(2)设-1<x1<x2<1,则△x=x2-x1>0,
,由此能证明f(x)在(-1,1)上为增函数.
(3)由f(x)为奇函数,f(x-1)+f(x)<0,知f(x-1)<-f(x)=f(-x),再由f(x)在(-1,1)上为增函数,能够求出不等式f(x-1)+f(x)<0的解集.
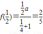
解答:(1)解:∵f(x)为奇函数
∴f(0)=0,即b=0,
又
,解得a=1,
∴
.…(4分)
(2)证明:设-1<x1<x2<1
即△x=x2-x1>0,
,
∵-1<x1<1,-1<x2<1,
∴-1<x1x2<1,
∴1-x1x2>0,x2-x1>0,
∴
,
∴△y>0,
∴f(x)在(-1,1)上为增函数.
(3)解:∵f(x)为奇函数
又f(x-1)+f(x)<0
∴f(x-1)<-f(x)=f(-x)…(9分)
又f(x)在(-1,1)上为增函数
∴
,
∴
,
∴不等式f(x-1)+f(x)<0的解集为
.…(14分)
点评:本题考查函数解析式的求法,考查函数单调性的证明,考查不等式的解法,解题时要认真审题,仔细解答,注意函数奇偶性的合理运用.
(2)设-1<x1<x2<1,则△x=x2-x1>0,
(3)由f(x)为奇函数,f(x-1)+f(x)<0,知f(x-1)<-f(x)=f(-x),再由f(x)在(-1,1)上为增函数,能够求出不等式f(x-1)+f(x)<0的解集.
解答:(1)解:∵f(x)为奇函数
∴f(0)=0,即b=0,
又
∴
(2)证明:设-1<x1<x2<1
即△x=x2-x1>0,
∵-1<x1<1,-1<x2<1,
∴-1<x1x2<1,
∴1-x1x2>0,x2-x1>0,
∴
∴△y>0,
∴f(x)在(-1,1)上为增函数.
(3)解:∵f(x)为奇函数
又f(x-1)+f(x)<0
∴f(x-1)<-f(x)=f(-x)…(9分)
又f(x)在(-1,1)上为增函数
∴
∴
∴不等式f(x-1)+f(x)<0的解集为
点评:本题考查函数解析式的求法,考查函数单调性的证明,考查不等式的解法,解题时要认真审题,仔细解答,注意函数奇偶性的合理运用.
练习册系列答案
相关题目