题目内容
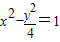
已知双曲线A.
B.
C.
D.
【答案】分析:利用双曲线
的一条渐近线与直线x-2y+3=0垂直,确定双曲线的标准方程,即可求得双曲线的离心率.
解答:解:双曲线
的渐近线方程为
∵双曲线
的一条渐近线与直线x-2y+3=0垂直
∴
,∴a=4
∴双曲线的方程为
∴双曲线的离心率是
故选B.
点评:本题考查双曲线的标准方程与几何性质,确定双曲线的标准方程是关键.
解答:解:双曲线
∵双曲线
∴
∴双曲线的方程为
∴双曲线的离心率是
故选B.
点评:本题考查双曲线的标准方程与几何性质,确定双曲线的标准方程是关键.
练习册系列答案
相关题目