题目内容
如图,在平面直角坐标系xOy中,椭圆
的焦距为2,且过点
.
(1)求椭圆E的方程;
(2)若点A,B分别是椭圆E的左、右顶点,直线l经过点B且垂直于x轴,点P是椭圆上异于A,B的任意一点,直线AP交l于点M.
(ⅰ)设直线OM的斜率为k1,直线BP的斜率为k2,求证:k1k2为定值;
(ⅱ)设过点M垂直于PB的直线为m.求证:直线m过定点,并求出定点的坐标.
![]()
解:(1)由题意得2c=2,∴c=1,又
,a2=b2+1.
消去a可得,2b4﹣5b2﹣3=0,解得b2=3或
(舍去),则a2=4,
∴椭圆E的方程为
.
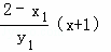
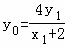
(2)(ⅰ)设P(x1,y1)(y1≠0),M(2,y0),则
,
,
∵A,P,M三点共线,∴
,∴
,
∵P(x1,y1)在椭圆上,∴
,故
为定值.
(ⅱ)直线BP的斜率为
,直线m的斜率为
,
则直线m的方程为
,
=
=
=
=
,
即
.
所以直线m过定点(﹣1,0).
练习册系列答案
相关题目
| A、偶函数 | B、奇函数 | C、不是奇函数,也不是偶函数 | D、奇偶性与k有关 |