题目内容
已知,且
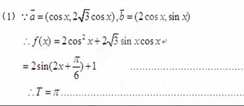
(1) 求的最小正周期
(2) 求的图像与其对称轴的交点坐标
(3) 求的单调递增区间.
(2) 或
(3)
已知a=,且∈.
(1)求的最值;
(2)若|ka+b|=|a-kb| (k∈R),求k的取值范围.
已知,且.
(1)求;
(2)求.
已知 , 且
(1)求的周期;
(2)求最大值和此时相应的的值;
(3)求的单调增区间;
(本小题满分14分)已知函数且
(1)求的值;(2)判定的奇偶性;
已知函数, 且.
(1)求的值; (2)求的值;(3)解不等式.(10分)