题目内容
已知矩形
,
,点
是
的中点,将△
沿
折起到△
的位置,使二面角
是直二面角.
![]()
(1)证明:
⊥面
;
(2)求二面角
的余弦值.
(1)证明见解析;(2)
.
【解析】
试题分析:(1)一般是通过证明线面垂直得到线线垂直,即证明其中一条直线与另一条直线所在的平面垂直.(2)利用向量法求二面角的平面角,建立空间直角坐标系利用向量的一个运算求出两个平面的法向量,进而求出二面角的余弦值.
试题解析:(1)∵AD=2AB=2,E是AD的中点,
∴△BAE,△CDE是等腰直角三角形,∠BEC=90°,
又∵平面D'EC⊥平面BEC,面D'EC∩面BEC=EC
∴BE⊥面D'EC,∴BE⊥CD’.
又CD’⊥ED’,且BE∩ED’=E,故CD′⊥面BED’ 4分
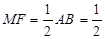
(2)法一:设M是线段EC的中点,过M作MF⊥BC
垂足为F,连接D’M,D'F,则D'M⊥EC.
∵平面D'EC⊥平面BEC∴D'M⊥平面EBC
∴MF是D'F在平面BEC上的射影,由三垂线定理得:D'F⊥BC
∴∠D'FM是二面D'-BC-E的平面角. 8分
在Rt△D'MF中,
,![]()
,![]()
∴二面角D’-BC—E的余弦值为
12分,
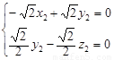
法二:如图,以EB,EC为x轴、y轴,过E垂直于平面BEC的射线为z轴,建立空间直角坐标系.
![]()
则![]()
设平面BEC的法向量为
;平面D'BC的法向量为![]()
,
取x2=l
得![]()
![]()
∴二面角D'-BC-E的余弦值为
12分
考点:1.用空间向量求平面间的夹角;2.直线与平面垂直的性质
己知在锐角ΔABC中,角
所对的边分别为
,且![]()
(I )求角
大小;
(II)当
时,求
的取值范围.
![]()
20.如图1,在平面内,
是
的矩形,
是正三角形,将
沿
折起,使
如图2,
为
的中点,设直线
过点
且垂直于矩形
所在平面,点
是直线
上的一个动点,且与点
位于平面
的同侧。
(1)求证:
平面
;
(2)设二面角
的平面角为
,若
,求线段
长的取值范围。
![]()
![]()
21.已知A,B是椭圆
的左,右顶点,
,过椭圆C的右焦点F的直线交椭圆于点M,N,交直线
于点P,且直线PA,PF,PB的斜率成等差数列,R和Q是椭圆上的两动点,R和Q的横坐标之和为2,RQ的中垂线交X轴于T点
(1)求椭圆C的方程;
(2)求三角形MNT的面积的最大值
22. 已知函数
,
(Ⅰ)若
在
上存在最大值与最小值,且其最大值与最小值的和为
,试求
和
的值。
(Ⅱ)若
为奇函数:
(1)是否存在实数
,使得
在
为增函数,
为减函数,若存在,求出
的值,若不存在,请说明理由;
(2)如果当
时,都有
恒成立,试求
的取值范围.