题目内容
等比数列{an}的前n项和为Sn,已知对任意的n∈N*,点(n,Sn)均在函数y=bx+r(b>0且b≠1,b,r均为常数)的图像上,
(1)求r的值;
(2)当b=2时,记
(n∈N*),求数列{bn}的前n项和Tn。
(1)求r的值;
(2)当b=2时,记
解:(1)因为对任意的n∈N*,点
均在函数
(b>0且b≠1,b,r均为常数)的图像上,
所以得
,
当n=1时,
,
当n≥2时,
,
又因为{an}为等比数列,所以r=-1,公比为b,
所以
;
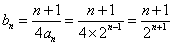
(2)当b=2时,
,
,
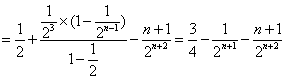
则
,
,
相减,得
,
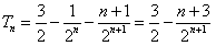
所以
。
所以得
当n=1时,
当n≥2时,
又因为{an}为等比数列,所以r=-1,公比为b,
所以
(2)当b=2时,
则
相减,得
所以
练习册系列答案
相关题目