题目内容

中,设分别为角的对边,角的平分线边于

(1)求证:

(2)若,求其三边的值.

 

【答案】

(1)详见解析;(2).

【解析】

试题分析:(1)将分割成两个三角形,利用并结合面积公式来证明;(2)利用角平分线的相关结论得到“”并结合(1)中的结论列方程组求出的值,最后再利用余弦定理求的值.

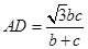
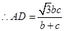
试题解析:(1)

                                                                                    5分

(2)     ①                                    7分

 ②                                          9分

由①②解得                                                  10分

又在中 

                                                         12分

考点:1.面积公式;2.角平分线的性质;3.余弦定理

 

练习册系列答案
相关题目

违法和不良信息举报电话:027-86699610 举报邮箱:58377363@163.com

精英家教网