题目内容
设
是
的三边中垂线的交点,
分别为角
对应的边,已知
,则
的范围是_____________.
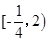
【答案】
![]()
【解析】
试题分析:设
为
的中点,则
,
得
,
又由
,
则
,
又因
解得
,结合
可求得
,
考点:1.向量数量积;2.二次函数的性质
练习册系列答案
相关题目
题目内容
设
是
的三边中垂线的交点,
分别为角
对应的边,已知
,则
的范围是_____________.
![]()
【解析】
试题分析:设
为
的中点,则
,
得
,
又由
,
则
,
又因
解得
,结合
可求得
,
考点:1.向量数量积;2.二次函数的性质