题目内容
已知向量(1)求函数f(x)的最小正周期和单调增区间;
(2)在△ABC中,a,b,c分别是角A,B,C的对边,R为△ABC外接圆的半径,且f(C)=3,c=1,
【答案】分析:(1)由题意结合数量积的定义可得函数f(x),由周期公式和整体代入可得答案;
(2)由(1)结合f(C)=3可得角C的值,然后又余弦定理和正弦定理可得关于a,b的方程,联立可解,再由a>b可做取舍.
解答:解:(1)由题意可得
=
=
=
=
,
∴f(x)的最小正周期为π,由2kπ-
≤2x+
≤2kπ+
(k∈Z),
解得kπ
(k∈Z)
∴函数f(x)的单调增区间为(k
,kπ
)(k∈Z)
(2)由(1)知
∴
∵C是三角形内角,∴
,
∴
,即:
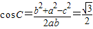
由余弦定理可得:
即:
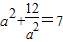
①
由正弦定理可得:
可得:
②,联立①②得:
解之得:a2=3或4,∴a=
所以当
时,b=2; 当a=2,
,∵a>b,∴a=2,
点评:本题为向量和三角函数以及解三角形的结合,熟练利用公式进行运算是解决问题的关键,属中档题.
(2)由(1)结合f(C)=3可得角C的值,然后又余弦定理和正弦定理可得关于a,b的方程,联立可解,再由a>b可做取舍.
解答:解:(1)由题意可得
=
∴f(x)的最小正周期为π,由2kπ-
解得kπ
∴函数f(x)的单调增区间为(k
(2)由(1)知
∵C是三角形内角,∴
∴
由余弦定理可得:
由正弦定理可得:
解之得:a2=3或4,∴a=
所以当
点评:本题为向量和三角函数以及解三角形的结合,熟练利用公式进行运算是解决问题的关键,属中档题.
练习册系列答案
相关题目