题目内容
设△ABC的内角A、B、C所对的边分别为a、b、c,已知a=1,b=2,cosC=
,
(1)求△ABC的周长;
(2)求cos(A-C)的值.
(1)求△ABC的周长;
(2)求cos(A-C)的值.
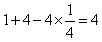
解:(1)∵c2=a2+b2-2abcosC=
,
∴c=2,
∴△ABC的周长为a+b+c=1+2+2=5.
(2)
,
∴
,
∴
,
∵a<c,
∴A<C,故A为锐角,
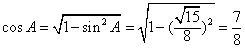
∴
,
∴cos(A-C)=cosAcosC+sinAsinC=
。
∴c=2,
∴△ABC的周长为a+b+c=1+2+2=5.
(2)
∴
∴
∵a<c,
∴A<C,故A为锐角,
∴
∴cos(A-C)=cosAcosC+sinAsinC=
练习册系列答案
相关题目