题目内容

已知定义域为的函数是奇函数.

(1)求的值;

(2)判断函数的单调性,并证明.

 

【答案】

(1);(2)减函数,证明详见解析;

【解析】

试题分析:(1)因为是奇函数,且定义域为,可由列式求出的值,但要注意只是本题中的是奇函数的必要条件,然后还要验证充分性;(2)判断函数的单调性在解答题中一般利用增函数或减函数的定义,或利用导函数的符号判断.

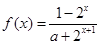
试题解析:(1)因为是奇函数,且定义域为,所以,   2分

所以,所以              4分

,知

经验证,当时,是奇函数,所以                  7分

(2)函数上为减函数                       9分

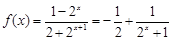
证明:法一:由(1)知

,则             12分

函数上为减函数          14分

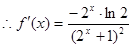
法二:由(1)知

,                            12分

函数上为减函数.              14分

考点:函数的奇偶性、函数的单调性.

 

练习册系列答案
相关题目

违法和不良信息举报电话:027-86699610 举报邮箱:58377363@163.com

精英家教网