题目内容
已知抛物线C的方程为y2=2x,焦点为F,(1)若C的准线与x轴的交点为D,过D的直线l与C交于A,B两点,且|
(2)设点P是C上的动点,点R,N在y轴上,圆M:(x-1)2+y2=1内切于△PRN,求△PRN面积的最小值.
【答案】分析:(1)设A(x1,y1),B(x2,y2),由|FA|=2|FB|,得
,将直线与抛物线方程联立可得x1+x2,x1x2 的值,解出x1,x2,从而问题得解.
(2)设P(x,y),R(0,b),N(0,c),且b>c,则直线PR的方程可得,由题设知,圆心(1,0)到直线PR的距离为1,把x,y代入化简整理可得(x-2)b2+2yb-x=0,同理可得(x-2)c2+2yc-x=0,进而可知b,c为方程(x-2)x2+2yx-x=0的两根,根据求根公式,可求得b-c,进而可得△PRN的面积的表达式,根据均值不等式可知当当x=4时面积最小,进而求得点P的坐标.
解答:解:(1)由抛物线C的方程为y2=2x,得其焦点F(
,0),
准线方程为x=-
,所以D(
,0),
由题意设直线l的斜率为k(k≠0),则直线l的方程为
.
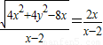
联立
,得4k2x2+(4k2-8)x+k2=0.
设直线l与C交于A(x1,y1),B(x2,y2),
则
①
由|
|=2|
|,得
②
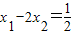
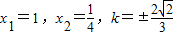
由①②解得
.
代入△=(4k2-8)2-16k4中大于0成立,
所以
;
(2)设P(x,y),R(0,b),N(0,c),且b>c,
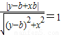
故直线PR的方程为(y-b)x-xy+xb=0.
由题设知,圆心(1,0)到直线PR的距离为1,
即
.
注意到x>2,化简上式,得(x-2)b2+2yb-x=0,
同理可得(x-2)c2+2yc-x=0.
由上可知,b,c为方程(x-2)x2+2yx-x=0的两根,
根据求根公式,可得b-c=
.
故△PRN的面积为S=
=
=
,
等号当且仅当x=4时成立.此时点P的坐标为(4,
)或(4,-2
).
综上所述,当点P的坐标为(4,
)或(4,-2
)时,△PRN的面积取最小值8.
点评:本题主要考查了抛物线的标准方程和直线与抛物线的关系,直线与圆锥曲线的问题常涉及到圆锥曲线的性质和直线的基本知识点,如直线被圆锥曲线截得的弦长,中点弦问题,垂直问题,对称问题等,与圆锥曲线的性质有关的量的范围问题是常见题型,此题是有一定难度题目.
(2)设P(x,y),R(0,b),N(0,c),且b>c,则直线PR的方程可得,由题设知,圆心(1,0)到直线PR的距离为1,把x,y代入化简整理可得(x-2)b2+2yb-x=0,同理可得(x-2)c2+2yc-x=0,进而可知b,c为方程(x-2)x2+2yx-x=0的两根,根据求根公式,可求得b-c,进而可得△PRN的面积的表达式,根据均值不等式可知当当x=4时面积最小,进而求得点P的坐标.
解答:解:(1)由抛物线C的方程为y2=2x,得其焦点F(
准线方程为x=-
由题意设直线l的斜率为k(k≠0),则直线l的方程为
联立
设直线l与C交于A(x1,y1),B(x2,y2),
则
由|
由①②解得
代入△=(4k2-8)2-16k4中大于0成立,
所以
(2)设P(x,y),R(0,b),N(0,c),且b>c,
故直线PR的方程为(y-b)x-xy+xb=0.
由题设知,圆心(1,0)到直线PR的距离为1,
即
注意到x>2,化简上式,得(x-2)b2+2yb-x=0,
同理可得(x-2)c2+2yc-x=0.
由上可知,b,c为方程(x-2)x2+2yx-x=0的两根,
根据求根公式,可得b-c=
故△PRN的面积为S=
=
等号当且仅当x=4时成立.此时点P的坐标为(4,
综上所述,当点P的坐标为(4,
点评:本题主要考查了抛物线的标准方程和直线与抛物线的关系,直线与圆锥曲线的问题常涉及到圆锥曲线的性质和直线的基本知识点,如直线被圆锥曲线截得的弦长,中点弦问题,垂直问题,对称问题等,与圆锥曲线的性质有关的量的范围问题是常见题型,此题是有一定难度题目.
练习册系列答案
相关题目