题目内容
某种汽车,购车费用是10万元,每年使用的保险费,养路费约为0.9万元,年维修费第一年是0.2万元,以后逐年递增0.2万元,问这种汽车使用多少年时,它的年平均费用最少?
解:设使用x年,平均费用最少
由题意知,年维修费构成首项为0.2,公差为0.2的等差数列,因此,汽车使用x年总的维修费用为
万元,设汽车的年平均费用为y万元,
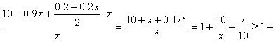
则有y=

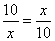
当且仅当
即x=10时,y取得最小值,即汽车使用10年平均费用最少。
由题意知,年维修费构成首项为0.2,公差为0.2的等差数列,因此,汽车使用x年总的维修费用为
则有y=
当且仅当
即x=10时,y取得最小值,即汽车使用10年平均费用最少。
练习册系列答案
相关题目