题目内容
已知
【答案】分析:应利用
求解
解答:解:
-----------------------------------------------(2分)
------------------------------------------------------(3分)
-------------------------------------------------------(3分)
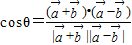
设
与
夹角为θ
,所以
---------------------(3分)
所以
与
夹角余弦值为
-------------------(1分)
点评:本题给出两个向量的模与夹角,求它们和向量和与差向量夹角的大小,着重考查了平面向量的数量积及其运算性质等知识,属于基础题.
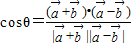
解答:解:
设
,所以
所以
点评:本题给出两个向量的模与夹角,求它们和向量和与差向量夹角的大小,着重考查了平面向量的数量积及其运算性质等知识,属于基础题.
练习册系列答案
相关题目