题目内容
已知集合A={(x,y)|x2+y2=1},集合B={(x,y)|x+y+a=0},若A∩B≠∅的概率为1,则a的取值范围是 .
【答案】分析:A表示圆,B表示直线,要使A∩B≠Φ的概率为1,则直线与圆必然相交,利用圆心到直线的距离小于或等于半径即可求得a的取值范围
解答:解:A表示圆x2+y2=1,B表示直线x+y+a=0
要使A∩B≠Φ的概率为1,则直线与圆必然相交
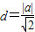
故有:
≤1
故有:a∈
故答案为:
点评:本题以集合为载体,考查直线与圆的位置关系,解题的关键是将A∩B≠Φ的概率为1,转化为直线与圆必然相交.
解答:解:A表示圆x2+y2=1,B表示直线x+y+a=0
要使A∩B≠Φ的概率为1,则直线与圆必然相交
故有:
故有:a∈
故答案为:
点评:本题以集合为载体,考查直线与圆的位置关系,解题的关键是将A∩B≠Φ的概率为1,转化为直线与圆必然相交.
练习册系列答案
相关题目