题目内容
已知公差大于零的等差数列an的前n项和为Sn,且满足:a3•a4=117,a2+a5=22.(1)求数列an的通项公式an;
(2)若数列bn是等差数列,且
(3)若(2)中的bn的前n项和为Tn,求证:
【答案】分析:(1)利用等差数列的性质可得
,联立方程可得a3,a4,代入等差数列的通项公式可求an
(2)代入等差数列的前n和公式可求sn,进一步可得bn,然后结合等差数列的定义可得2b2=b1+b3,从而可求c
(3)要证原不等式A>B?A>M,B<M,分别利用二次函数及均值不等式可证.℃
解答:解:(1)an为等差数列,a3•a4=117,a2+a5=22
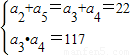
又a2+a5=a3+a4=22
∴a3,a4是方程x2-22x+117=0的两个根,d>0
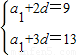
∴a3=9,a4=13
∴
∴d=4,a1=1
∴an=1+(n-1)×4=4n-3
(2)由(1)知,
∵
∴
,
,
,
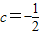
∵bn是等差数列,∴2b2=b1+b3,∴2c2+c=0,
∴
(c=0舍去),
(3)由(2)得
,
2Tn-3bn-1=2(n2+n)-3(2n-2)=2(n-1)2+4≥4,
但由于n=1时取等号,从而等号取不到2Tn-3bn-1=2(n2+n)-3(2n-2)=2(n-1)2+4>4,
∴
,
n=3时取等号(15分)
(1)、(2)式中等号不能同时取到,所以
.
点评:本题主要考查了等差数列的定义、性质、通项公式、前n项和公式的综合运用,及不等式的证明,在不等式的证明中又运用了二次函数及均值不等式求函数的值域,是一道综合性很好的试题.
(2)代入等差数列的前n和公式可求sn,进一步可得bn,然后结合等差数列的定义可得2b2=b1+b3,从而可求c
(3)要证原不等式A>B?A>M,B<M,分别利用二次函数及均值不等式可证.℃
解答:解:(1)an为等差数列,a3•a4=117,a2+a5=22
又a2+a5=a3+a4=22
∴a3,a4是方程x2-22x+117=0的两个根,d>0
∴a3=9,a4=13
∴
∴d=4,a1=1
∴an=1+(n-1)×4=4n-3
(2)由(1)知,
∵
∴
∵bn是等差数列,∴2b2=b1+b3,∴2c2+c=0,
∴
(3)由(2)得
2Tn-3bn-1=2(n2+n)-3(2n-2)=2(n-1)2+4≥4,
但由于n=1时取等号,从而等号取不到2Tn-3bn-1=2(n2+n)-3(2n-2)=2(n-1)2+4>4,
∴
n=3时取等号(15分)
(1)、(2)式中等号不能同时取到,所以
点评:本题主要考查了等差数列的定义、性质、通项公式、前n项和公式的综合运用,及不等式的证明,在不等式的证明中又运用了二次函数及均值不等式求函数的值域,是一道综合性很好的试题.
练习册系列答案
相关题目