题目内容
设函数
(a∈R)。
(1)讨论函数f(x)的单调性;
(2)若f(x)有两个极值点x1,x2,记过点A(x1,f(x1)),B(x2,f(x2))的直线斜率为k。问:是否存在a,使得k=2-a?若存在,求出a的值;若不存在,请说明理由。
(1)讨论函数f(x)的单调性;
(2)若f(x)有两个极值点x1,x2,记过点A(x1,f(x1)),B(x2,f(x2))的直线斜率为k。问:是否存在a,使得k=2-a?若存在,求出a的值;若不存在,请说明理由。
解:(1)f(x)定义域为(0,+∞),

令g(x)=x2-ax+1,△=a2-4
①当-2≤a≤2时,△≤0,f′(x)≥0,故f(x)在(0,+∞)上单调递增;
②当a<-2时,△>0,g(x)=0的两根都小于零,在(0,+∞)上,f′(x)>0,故f(x)在(0,+∞)上单调递增;
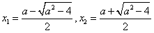
③当a>2时,△>0,g(x)=0的两根为
当
时,
;
当
时,
;
当
时,
故f(x)分别在(0,x1),(x2,+∞)上单调递增,在(x1,x2)上单调递减;
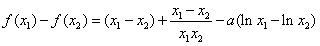
(2)由(1)知
因为
所以
又由(1)知,
于是
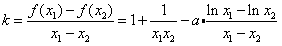
若存在a,使得
,则
即
亦即
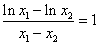
再由(1)知,函数
在(0,+∞)上单调递增,而
所以
这与
式矛盾,故不存在a,使得
。
令g(x)=x2-ax+1,△=a2-4
①当-2≤a≤2时,△≤0,f′(x)≥0,故f(x)在(0,+∞)上单调递增;
②当a<-2时,△>0,g(x)=0的两根都小于零,在(0,+∞)上,f′(x)>0,故f(x)在(0,+∞)上单调递增;
③当a>2时,△>0,g(x)=0的两根为
当
当
当
故f(x)分别在(0,x1),(x2,+∞)上单调递增,在(x1,x2)上单调递减;
(2)由(1)知
因为
所以
又由(1)知,
于是
若存在a,使得
即
亦即
再由(1)知,函数
所以
这与
练习册系列答案
相关题目