题目内容
如图,长方体ABCD—A1B1C1D1中,AB=a,BC=b,BB1=c,并且a>b>c>0,求沿着长方体的表面自A到C1的最短线路的长.![]()
解析:将长方体相邻的两个面展开利用在平面内两点间的最短距离来求解,有下列三种可能,如图:?
![]()
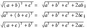
图形①②③中AC1的长分别为?
![]()
∵a>b>c>0,∴ab>ac>bc>0.?
故最短线路长为
.
练习册系列答案
相关题目
题目内容
如图,长方体ABCD—A1B1C1D1中,AB=a,BC=b,BB1=c,并且a>b>c>0,求沿着长方体的表面自A到C1的最短线路的长.![]()
解析:将长方体相邻的两个面展开利用在平面内两点间的最短距离来求解,有下列三种可能,如图:?
![]()
图形①②③中AC1的长分别为?
![]()
∵a>b>c>0,∴ab>ac>bc>0.?
故最短线路长为
.