题目内容
直线l与抛物线y2=ax(a>0)交于A、B两点,则以线段AB为直径的圆经过抛物线顶点O的充要条件是( )A.|OA|=|OB|
B.AB垂直x轴
C.l经过抛物线的焦点F1
D.l过定点Q(a,o)
【答案】分析:设l方程为x=ty+m与抛物线方程联立得y2-aty-am=0,利用以AB为直径的圆过原点,即x1x2+y1y2=0,从而求出定点坐标的充要条件.
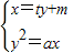
解答:解:设l方程为x=ty+m联立
得y2-aty-am=0,
设A(x1,y1)、B(x2,y2)则
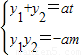
∴x1x2=
•
=m2,
∵以AB为直径的圆过原点,∴x1x2+y1y2=0,∴m2-am=0,∴m=a,∴Q的坐标为(a,0).
反之,当l过定点Q(a,0)时,同样可得x1x2+y1y2=0,从而以线段AB为直径的圆经过抛物线顶点O.
故选D.
点评:本题主要考查抛物线的简单性质、必要条件、充分条件与充要条件的判断,同时考查恒过定点问题,注意挖掘题目隐含,将问题等价转化.
解答:解:设l方程为x=ty+m联立
设A(x1,y1)、B(x2,y2)则
∴x1x2=
∵以AB为直径的圆过原点,∴x1x2+y1y2=0,∴m2-am=0,∴m=a,∴Q的坐标为(a,0).
反之,当l过定点Q(a,0)时,同样可得x1x2+y1y2=0,从而以线段AB为直径的圆经过抛物线顶点O.
故选D.
点评:本题主要考查抛物线的简单性质、必要条件、充分条件与充要条件的判断,同时考查恒过定点问题,注意挖掘题目隐含,将问题等价转化.
练习册系列答案
相关题目