题目内容
已知椭圆M:(Ⅰ)求椭圆M的方程;
(Ⅱ)设直线l:x=ky+m与椭圆M交手A,B两点,若以AB为直径的圆经过椭圆的右顶点C,求m的值.
【答案】分析:(Ⅰ)根据椭圆上一点与椭圆的两个焦点构成的三角形的周长为6+4
,椭圆的离心率,建立方程,利用b2=a2-c2,可求椭圆M的方程;
(Ⅱ)由直线与椭圆方程联立,消元,由以AB为直径的圆过椭圆右顶点C(3,0),可得
,结合数量积公式及韦达定理,即可求m的值.
解答:解:(Ⅰ)由题意,可得
,即
,…(1分)
又椭圆的离心率为
,即
,…(2分)
所以a=3,
,
所以b2=a2-c2=1,…(3分)
所以椭圆M的方程为
.…(4分)
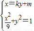
(Ⅱ)由
消去x得(k2+9)y2+2kmy+m2-9=0.…(5分)
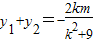
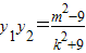
设A(x1,y1),B(x2,y2),有
,
.①…(6分)
因为以AB为直径的圆过椭圆右顶点C(3,0),所以
.…(7分)
由
,
,得 (x1-3)(x2-3)+y1y2=0.…(8分)
将x1=ky1+m,x2=ky2+m代入上式,
得
,…(10分)
将 ①代入上式得
解得
,或m=3.…(12分)
点评:本题考查椭圆的标准方程与几何性质,考查直线与椭圆的位置关系,考查向量知识的运用,考查韦达定理,联立方程,利用韦达定理是解题的关键.
(Ⅱ)由直线与椭圆方程联立,消元,由以AB为直径的圆过椭圆右顶点C(3,0),可得
解答:解:(Ⅰ)由题意,可得
又椭圆的离心率为
所以a=3,
所以b2=a2-c2=1,…(3分)
所以椭圆M的方程为
(Ⅱ)由
设A(x1,y1),B(x2,y2),有
因为以AB为直径的圆过椭圆右顶点C(3,0),所以
由
将x1=ky1+m,x2=ky2+m代入上式,
得
将 ①代入上式得
解得
点评:本题考查椭圆的标准方程与几何性质,考查直线与椭圆的位置关系,考查向量知识的运用,考查韦达定理,联立方程,利用韦达定理是解题的关键.
练习册系列答案
相关题目