题目内容
已知数列
是等差数列,
,
.
(Ⅰ)求数列
的通项公式;
(Ⅱ)若
,求数列
的前
项和
.
【答案】
(Ⅰ)
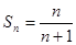
;(Ⅱ)![]()
【解析】
试题分析:(Ⅰ)由两个已知条件分别列出关于首项和公差的一个二元一次方程组,从而解得首项和公差的值.再用等差数列的通项公式即可得结论.
(Ⅱ)由(Ⅰ)的通项代入即可求得
的通项公式,通项是一个通过裂项求差的形式.
的前n项和通过累加即可剩下头尾两项的差.即可求得前n项和的结论.本题是一道较基础的等差数列问题的题目,通过求出首相和公差,再利用裂项求差的方法.
试题解析:(Ⅰ)设等差数列的公差为![]()
∵
,![]()
∴![]()
解得:![]()
∴ ![]()
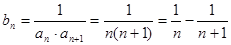
(Ⅱ)∵![]()
∴![]()
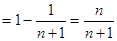
![]()
即数列
的前n项和![]()
考点:1.等差数列的通项公式.2.裂项求和法.3.解方程的思想.
练习册系列答案
相关题目