题目内容
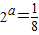
幂函数y=f(x)的图象经过点(2,
【答案】分析:设幂函数f(x)=xa,由幂函数y=f(x)的图象经过点(2,
),解得a=-3,由此能求出满足f(x)=-27的x的值.
解答:解:设幂函数f(x)=xa,
∵幂函数y=f(x)的图象经过点(2,
),
∴
,解得a=-3,
∴f(x)=x-3,
∵f(x)=x-3=-27,
∴x=-
.
故答案为:-
.
点评:本题考查幂函数的性质的应用,是基础题.解题时要认真审题,仔细解答.
解答:解:设幂函数f(x)=xa,
∵幂函数y=f(x)的图象经过点(2,
∴
∴f(x)=x-3,
∵f(x)=x-3=-27,
∴x=-
故答案为:-
点评:本题考查幂函数的性质的应用,是基础题.解题时要认真审题,仔细解答.
练习册系列答案
相关题目