题目内容
已知集合A={x|x=-2n-1,n∈N*},B={x|x=-6n+3,n∈N*},设Sn是等差数列{an}的前n项和,若{an}的任一项an∈A∩B,首项a1是A∩B中的最大数,且-750<S10<-300.(Ⅰ)求数列{an}的通项公式;
(Ⅱ)若数列{bn}满足
【答案】分析:(Ⅰ)由 题意可得,A∩B=B,A∩B中的最大数为-3,即a1=-3,an=-3+(n-1)d,
由-750<S10<-300可得-16<d<-6,结合B中所有的元素可以组成以-3为首项,-6为公差的等差数列可知d=-6m(m∈Z,m≠0),且-16<-6m<-6可求m,进而可求d,根据等差数列的通项公式可求
(Ⅱ)由
,利用等比数列的求和公式可求可求Tn,然后猜想后利用 数学归纳法进行证明即可或利用二项展开式进行证明也可以
解答:解:(Ⅰ)根据题设可得:集合A中所有的元素可以组成以-3为首项,-2为公差的递减等差数列;集合B中所有的元素可以组成以-3为首项,-6为公差的递减等差数列.
由题意,有A∩B=B,A∩B中的最大数为-3,即a1=-3…(2分)
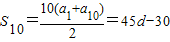
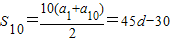
设等差数列{an}的公差为d,则an=-3+(n-1)d,
因为-750<S10<-300,∴-750<45d-30<-300,即-16<d<-6
由于B中所有的元素可以组成以-3为首项,-6为公差的递减等差数列
所以d=-6m(m∈Z,m≠0),由-16<-6m<-6⇒m=2,所以d=-12…(5分)
所以数列{an}的通项公式为an=9-12n(n∈N*) …(6分)
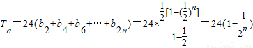
(Ⅱ)
…(8分)

于是确定Tn与
的大小关系等价于比较2n与2n+1的大小
由2<2×1+1,22<2×2+1,23>2×3+1,24>2×4+1,…
可猜想当n≥3时,2n>2n+1…(10分)
证明如下:
证法1:(1)当n=3时,由上验算可知成立.
(2)假设n=k时,2k>2k+1,
则2k+1=2•2k>2(2k+1)=4k+2=2(k+1)+1+(2k-1)>2(k+1)+1
所以当n=k+1时猜想也成立
根据(1)(2)可知,对一切n≥3的正整数,都有2n>2n+1
∴当n=1,2时,
,当n≥3时
…(13分)
证法2:当n≥3时
∴当n=1,2时,
,当n≥3时
…(13分)
点评:本题以集合为载体,主要考查了等差数列的通项公式的求解,数学归纳法在证明数学命题中的应用,属于数列知识的简单应用
由-750<S10<-300可得-16<d<-6,结合B中所有的元素可以组成以-3为首项,-6为公差的等差数列可知d=-6m(m∈Z,m≠0),且-16<-6m<-6可求m,进而可求d,根据等差数列的通项公式可求
(Ⅱ)由
解答:解:(Ⅰ)根据题设可得:集合A中所有的元素可以组成以-3为首项,-2为公差的递减等差数列;集合B中所有的元素可以组成以-3为首项,-6为公差的递减等差数列.
由题意,有A∩B=B,A∩B中的最大数为-3,即a1=-3…(2分)
设等差数列{an}的公差为d,则an=-3+(n-1)d,
因为-750<S10<-300,∴-750<45d-30<-300,即-16<d<-6
由于B中所有的元素可以组成以-3为首项,-6为公差的递减等差数列
所以d=-6m(m∈Z,m≠0),由-16<-6m<-6⇒m=2,所以d=-12…(5分)
所以数列{an}的通项公式为an=9-12n(n∈N*) …(6分)
(Ⅱ)
于是确定Tn与
由2<2×1+1,22<2×2+1,23>2×3+1,24>2×4+1,…
可猜想当n≥3时,2n>2n+1…(10分)
证明如下:
证法1:(1)当n=3时,由上验算可知成立.
(2)假设n=k时,2k>2k+1,
则2k+1=2•2k>2(2k+1)=4k+2=2(k+1)+1+(2k-1)>2(k+1)+1
所以当n=k+1时猜想也成立
根据(1)(2)可知,对一切n≥3的正整数,都有2n>2n+1
∴当n=1,2时,
证法2:当n≥3时
∴当n=1,2时,
点评:本题以集合为载体,主要考查了等差数列的通项公式的求解,数学归纳法在证明数学命题中的应用,属于数列知识的简单应用
练习册系列答案
相关题目