题目内容
已知α是第三象限角,化简
【答案】分析:这是一道化简三角函数式的问题,从整体来看有二次根号,那么第一步是把被开方数变成完全平方数,这样好去掉根号,变为完全平方数的方法是分子和分母同乘分子,一方面可以凑成完全平方数,另一方面使分母为单项式,便于计算.
解答:解:∵α是第三象限角,
∴1+sinα>0,1-sinα>0,cosα<0,
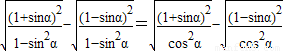
∴
=
=
=
.
点评:化简的标准:第一,尽量使函数种类最少,次数最低,而且尽量化成积的形式;第二,能求出值的要求出值;第三,根号内的三角函数式尽量开出;第四,尽量使分母不含三角函数.
解答:解:∵α是第三象限角,
∴1+sinα>0,1-sinα>0,cosα<0,
∴
=
=
点评:化简的标准:第一,尽量使函数种类最少,次数最低,而且尽量化成积的形式;第二,能求出值的要求出值;第三,根号内的三角函数式尽量开出;第四,尽量使分母不含三角函数.
练习册系列答案
相关题目
已知a是第三象限角,并且sina=-
,则tana等于( )
| 4 |
| 5 |
A、
| ||
B、
| ||
C、-
| ||
D、-
|