题目内容
已知函数(1)判断f(x)的奇偶性,并证明你的结论;
(2)证明:函数f(x)在
【答案】分析:(1)利用函数奇偶性的定义去判断.(2)利用函数单调性的定义去证明.
解答:解:(1)函数的定义域是(-∞,0)∪(0,+∞)(1分)
∵
,
∴f(x)是奇函数.(5分)
(2)设
,且x1<x2 (6分)
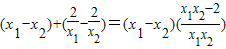
则
=
,(7分)
∵
,
∴x1-x2<0,x1x2-2>0,x1x2>0(10分)
∴f(x1)-f(x2)<0,即f(x1)<f(x2)(11分)
故f(x)在
内是增函数.(12分)
点评:本题主要考查函数奇偶性的判断和单调性的判断,利用函数单调性和奇偶性的定义是解决本题的关键.
解答:解:(1)函数的定义域是(-∞,0)∪(0,+∞)(1分)
∵
∴f(x)是奇函数.(5分)
(2)设
则
∵
∴x1-x2<0,x1x2-2>0,x1x2>0(10分)
∴f(x1)-f(x2)<0,即f(x1)<f(x2)(11分)
故f(x)在
点评:本题主要考查函数奇偶性的判断和单调性的判断,利用函数单调性和奇偶性的定义是解决本题的关键.
练习册系列答案
相关题目