题目内容
计算下列各题:(1)(lg5)2+lg2•lg50;
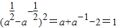
(2)已知a
【答案】分析:(1)把lg50运用乘积的对数等于对数的和展开后,提取公因式进行运算;
(2)把已知的等式两边进行平方,求出a+a-1,再一次平方运算可求a2+a-2的值.
解答:解:(1)(lg5)2+lg2•lg50=(lg5)2+lg2•(1+lg5)
=(lg5)2+lg2•lg5+lg2=lg5•(lg5+lg2)+lg2=lg5+lg2=1;
(2)由
,得
,∴a+a-1=3,
∴(a+a-1)2=a2+a-2+2=9
∴a2+a-2=7.
点评:本题考查了对数的运算性质,考查了有理指数幂的化简求值,解答此题的关键是想到把给出的等式平方,此题是基础题.
(2)把已知的等式两边进行平方,求出a+a-1,再一次平方运算可求a2+a-2的值.
解答:解:(1)(lg5)2+lg2•lg50=(lg5)2+lg2•(1+lg5)
=(lg5)2+lg2•lg5+lg2=lg5•(lg5+lg2)+lg2=lg5+lg2=1;
(2)由
∴(a+a-1)2=a2+a-2+2=9
∴a2+a-2=7.
点评:本题考查了对数的运算性质,考查了有理指数幂的化简求值,解答此题的关键是想到把给出的等式平方,此题是基础题.
练习册系列答案
相关题目