题目内容
已知函数(Ⅰ) 证明:f(x)+f(2a-x)=-2对函数f(x)在其定义域内的所有x都成立;
(Ⅱ) 当函数f(x)的定义域为
【答案】分析:(1)计算左边f(x)+f(2a-x)是否等于-2即可;
(2)先化简f(x)=-
,只要由求出x-a的取值范围,进而可求出函数f(x)的值域.
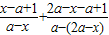
解答:解:(1)证明:当x≠a时,f(x)+f(2a-x)=
=
=
=-2,
∴f(x)+f(2a-x)=-2对函数f(x)在其定义域内的所有x都成立;
(2)当x≠a时,f(x)=-1
=
.
∵
,∴
,∴
,∴
,
∴
,即-3≤f(x)≤-2.
故函数f(x)的值域为[-3,-2].
点评:熟悉证明题的方法和由x的取值求出与之有关的代数式的值是解题的关键.
(2)先化简f(x)=-
解答:解:(1)证明:当x≠a时,f(x)+f(2a-x)=
∴f(x)+f(2a-x)=-2对函数f(x)在其定义域内的所有x都成立;
(2)当x≠a时,f(x)=-1
∵
∴
故函数f(x)的值域为[-3,-2].
点评:熟悉证明题的方法和由x的取值求出与之有关的代数式的值是解题的关键.
练习册系列答案
相关题目