题目内容
设函数f(x)=(1+x)2-2ln(1+x).(Ⅰ)求函数f(x)的单调区间;
(Ⅱ)当0<a<2时,求函数g(x)=f(x)-x2-ax-1在区间[0,3]的最小值.
【答案】分析:(Ⅰ)首先求出函数的导数,然后令f′(x)=0,解出函数的极值点,最后根据导数判断函数的单调性,从而求函数f(x)的单调区间.
(Ⅱ)因为函数g(x)=f(x)-x2-ax-1,求出g(x)的导数,求出函数的单调区间,然后只需讨论
与3的大小,从而分类讨论求出函数g(x)=f(x)-x2-ax-1在区间[0,3]的最小值.
解答:本小题满分(14分)
解:(Ⅰ)∵
(2分)
由f'(x)>0,得-2<x<-1或x>0;由f'(x)<0,得x<-2或-1<x<0.
又∵f(x)定义域为(-1,+∞),
∴所以函数f(x)的单调递增区间为(0,+∞),单调递减区间为(-1,0)(5分)
(Ⅱ)由g(x)=f(x)-x2-ax-1
即g(x)=2x-ax-2ln(1+x),
(7分)
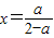
令g'(x)=0由0<a<2及x>-1,得
且当
时f(x)取得极小值.(8分)
∵求f(x)在区间[0,3]上最小值
∴只需讨论
与3的大小
①当
时
<3
所以函数g(x)在[0,3]上最小值为
(10分)
②当
时
=3
所以函数g(x)在[0,3]上最小值为
(11分)
③当
时
>3
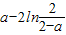
所以函数g(x)在[0,3]上最小值为g(3)=
(13分)
所以,综上可知当
时,函数g(x)在[0,3]上最小值为
;
当
时,函数g(x)在[0,3]上最小值为
.(14分)
点评:此题主要考查函数导数与函数单调性之间的关系,掌握并会熟练运用导数判断函数的单调性,要学会分类讨论,难度较大.
(Ⅱ)因为函数g(x)=f(x)-x2-ax-1,求出g(x)的导数,求出函数的单调区间,然后只需讨论
解答:本小题满分(14分)
解:(Ⅰ)∵
由f'(x)>0,得-2<x<-1或x>0;由f'(x)<0,得x<-2或-1<x<0.
又∵f(x)定义域为(-1,+∞),
∴所以函数f(x)的单调递增区间为(0,+∞),单调递减区间为(-1,0)(5分)
(Ⅱ)由g(x)=f(x)-x2-ax-1
即g(x)=2x-ax-2ln(1+x),
令g'(x)=0由0<a<2及x>-1,得
且当
∵求f(x)在区间[0,3]上最小值
∴只需讨论
①当
所以函数g(x)在[0,3]上最小值为
②当
所以函数g(x)在[0,3]上最小值为
③当
所以函数g(x)在[0,3]上最小值为g(3)=
所以,综上可知当
当
点评:此题主要考查函数导数与函数单调性之间的关系,掌握并会熟练运用导数判断函数的单调性,要学会分类讨论,难度较大.
练习册系列答案
相关题目