题目内容
设函数f(x)=|2x+1|-|x-2|.
(1)求不等式f(x)>2的解集;
(2)若
x∈R,
恒成立,求实数t的取值范围.
(1)求不等式f(x)>2的解集;
(2)若
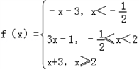
解:(1)
当
,∴x<﹣5
当
,∴1<x<2
当x≥2,x+3>2,x>﹣1,∴x≥2
综上所述 {x|x>1或x<﹣5}.
(2)由(1)得
,
若
x∈R,
恒成立,
则只需
,
综上所述
.
当
当
当x≥2,x+3>2,x>﹣1,∴x≥2
综上所述 {x|x>1或x<﹣5}.
(2)由(1)得
若
则只需
综上所述
练习册系列答案
相关题目