题目内容
等比数列{an}的前n项和为Sn,已知对任意的n∈N+,点(n,Sn)均在函数y=2x+r(r为常数)的图象上,数列{bn}对任意的n≥2的正整数均满足2bn=bn+1+bn-1,且b1+a1=3,b5+a5=22(I)求r的值和数列{an}的通项公式;
(Ⅱ)求数列{bn}的通项公式;
(Ⅲ)记
【答案】分析:(I)由已知得出
,求出{等比数列的定义得出r并确定{an}的通项公式
(II)数列{bn}是等差数列,且b1+a1=3,b5+a5=22,求出b1=2,b5=6,数列{bn}的公差为d=1.bn=2+(n-1)=n+1.
(III)
,应用错位相消法进行求和.
解答:解:(I)因为对任意的n∈N+,点(n,Sn)均在函数y=2x+r(r为常数)的图象上.
所以得
,
当n=1时,a1=s1=2+r,
当n≥2时,
又因为{an}为等比数列,
所以r=-1,公比为2,
所以
…..(5分)
(II)∵数列{bn}对任意的n≥2的正整数均满足2bn=bn+1+bn-1,
∴数列{bn}是等差数列
由于a1=1,a5=16,b1+a1=3,b5+a5=22,则b1=2,b5=6
∴数列{bn}的公差为
,
∴bn=2+(n-1)=n+1…(7分)
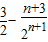
(III)因为
则Tn=
=
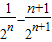
相减,得
=
=
-
=
-
所以Tn=
-
=
…(12分)
点评:本题考查利用数列中an与Sn关系求数列通项,等差数列、等比数列的判定,错位相消法数列求和.需具有转化、变形、计算能力.
(II)数列{bn}是等差数列,且b1+a1=3,b5+a5=22,求出b1=2,b5=6,数列{bn}的公差为d=1.bn=2+(n-1)=n+1.
(III)
解答:解:(I)因为对任意的n∈N+,点(n,Sn)均在函数y=2x+r(r为常数)的图象上.
所以得
当n=1时,a1=s1=2+r,
当n≥2时,
又因为{an}为等比数列,
所以r=-1,公比为2,
所以
(II)∵数列{bn}对任意的n≥2的正整数均满足2bn=bn+1+bn-1,
∴数列{bn}是等差数列
由于a1=1,a5=16,b1+a1=3,b5+a5=22,则b1=2,b5=6
∴数列{bn}的公差为
∴bn=2+(n-1)=n+1…(7分)
(III)因为
则Tn=
相减,得
=
=
所以Tn=
点评:本题考查利用数列中an与Sn关系求数列通项,等差数列、等比数列的判定,错位相消法数列求和.需具有转化、变形、计算能力.
练习册系列答案
相关题目