题目内容
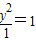
点P在椭圆A.
B.4
C.
D.
【答案】分析:由点P在椭圆
+
上,F1,F2为焦点 且∠F1PF2=60°,利用椭圆性质和余弦定理,建立方程组,求出|PF1|•|PF2|=
,再由正弦定理能够求出△F1PF2的面积.
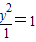
解答:解:∵点P在椭圆
+
上,F1,F2为焦点 且∠F1PF2=60°,
∴
,
解得|PF1|•|PF2|=
,
∴△F1PF2的面积S=
|PF1|•|PF2|•sin60°=
×
=
.
故选A.
点评:若点P在椭圆上,F1,F2为焦点 且∠F1PF2=θ,则△F1PF2的面积为S=
.
解答:解:∵点P在椭圆
∴
解得|PF1|•|PF2|=
∴△F1PF2的面积S=
故选A.
点评:若点P在椭圆上,F1,F2为焦点 且∠F1PF2=θ,则△F1PF2的面积为S=
练习册系列答案
相关题目