题目内容
函数
.若
的定义域为
,求实数
的取值范围.
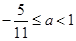
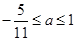
【答案】
.
【解析】
试题分析:由
的定义域为
可知
恒成立,这时要分
和
两种情况讨论,当
时,比较简单,易得结果,当
时,函数
为二次函数,要使
恒成立,由二次函数的图象应有,
,如此便可求出
的取值范围.
试题解析:(1)当
时,
,
的定义域为
,符合题意;
(2)当
时,
,
的定义域不为
,所以
;
(3)当![]()
时,
的定义域为
知抛物线
全部在
轴上方(或在上方相切),此时应有
,解得
;
综合(1),(2),(3)有
的取值范围是
.
考点:二次函数、函数的定义域.
练习册系列答案
相关题目
设a>1,函数y=|logax|的定义域为[m,n](m<n),值域为[0,1],定义“区间[m,n]的长度等于n-m”,若区间[m,n]长度的最小值为
,则实数a的值内( )
| 5 |
| 6 |
| A、11 | ||
| B、6 | ||
C、
| ||
D、
|
函数y=logax的定义域为[2,π],若它的最大值比最小值大1,则底数a的值是( )
A、
| ||||
B、
| ||||
C、
| ||||
| D、以上都不对 |