题目内容
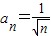
已知数列{an}中,a1=1,当n∈N+,n≥2时,an=
【答案】分析:由an=
,a1=1可得
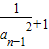
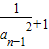
=
=
且an>0,结合等差数列的通项公式可求
,进而可求an
解答:解:an=
,a1=1
∴
=
=
,an>0
即
∴数列{
}是以1为首项以1为公差的等差数列
∴
∴
故答案为:
点评:本题主要考查了利用数列的递推公式求解数列的通项,解题的关键是对已知条件变形构造等差数列,体会构造思想的应用
解答:解:an=
∴
即
∴数列{
∴
∴
故答案为:
点评:本题主要考查了利用数列的递推公式求解数列的通项,解题的关键是对已知条件变形构造等差数列,体会构造思想的应用
练习册系列答案
相关题目
已知数列{an}中,a1=1,2nan+1=(n+1)an,则数列{an}的通项公式为( )
A、
| ||
B、
| ||
C、
| ||
D、
|