题目内容
中心在原点,长轴长为8,准线方程为x=±8的椭圆标准方程为 .
【答案】分析:设出a,b,c分别为椭圆的半长轴,半短轴及焦距的一半,根据椭圆的准线方程公式列出a与c的方程记作①,根据长轴长为8列出a的方程记作②,联立①②即可求出a与c的值,根据a2=b2+c2即可求出b的值,由椭圆的中心在原点,利用a与b的值写出椭圆的标准方程即可.
解答:解:设a为半长轴,b为半短轴,c为焦距的一半,
根据题意可知:±
=±8即a2=8c①,
2a=8②,
把②代入①解得:c=2,a=4,所以b=
=
,
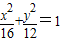
又椭圆的中心在原点,则所求椭圆的方程为:
.
故答案为:
.
点评:此题考查学生灵活运用椭圆的准线方程及离心率的公式化简求值,掌握椭圆的一些基本性质,是一道综合题.
解答:解:设a为半长轴,b为半短轴,c为焦距的一半,
根据题意可知:±
2a=8②,
把②代入①解得:c=2,a=4,所以b=
又椭圆的中心在原点,则所求椭圆的方程为:
故答案为:
点评:此题考查学生灵活运用椭圆的准线方程及离心率的公式化简求值,掌握椭圆的一些基本性质,是一道综合题.
练习册系列答案
相关题目