题目内容

中,角所对的边为,且满足

(1)求角的值;

(2)若,求的取值范围.

 

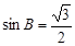
【答案】

(1);(2).

【解析】

试题分析:本题考查解三角形中的正弦定理、二倍角公式、二角和与差的正余弦公式及求三角函数最值等基础知识,考查基本运算能力.第一问,先用倍角公式和两角和与差的余弦公式将表达式变形,解方程,在三角形内求角;第二问,利用正弦定理得到边和角的关系代入到所求的式子中,利用两角和与差的正弦公式展开化简表达式,通过得到角的范围,代入到表达式中求值域.

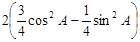
试题解析:(1)由已知

,            4分

化简得,故.            6分

(2)由正弦定理,得

                                     8分

因为,所以,            10分

所以.                12分

考点:1.倍角公式;2.两角和与差的余弦公式;3.正弦公式;4.求三角函数的值域.

 

练习册系列答案
相关题目

违法和不良信息举报电话:027-86699610 举报邮箱:58377363@163.com

精英家教网