题目内容
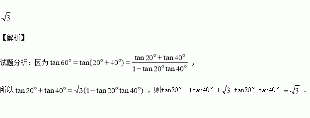
式子tan20° +tan40°+tan20°tan40°的值是____.
函数的定义域是 .
已知函数是定义在上的奇函数,若对于任意给定的不等实数,不等式
恒成立,则不等式的解集为( )
A. B. C. D.
在△ABC中,a,b,c分别为内角A,B,C的对边,且2asin A=(2b+c)sin B+(2c+b)sin C.
(1)求A的大小;
(2)若sin B+sin C=1,试判断△ABC的形状.
若A=(x+3)(x+7),B=(x+4)(x+6),则A、B的大小关系为________.
己知a,b∈[0,1],则S(a,b)=+(1a)(1-b)的最小值为 .
已知一次函数的图像经过点和,令,记数列的前项和为,当时,的值等于( )
如果、、满足,且,那么下列选项不恒成立的是( )
A. B.
C. D.
不等式≤0对于任意及恒成立,则实数的取值范围是( )
A.≤ B.≥ C.≥ D.≥