题目内容
在数列{an}中,a1=1,an+1=2an+2n,
(Ⅰ)设
,证明:数列{bn}是等差数列;
(Ⅱ)求数列{an}的前n项和Sn.
(Ⅰ)设
(Ⅱ)求数列{an}的前n项和Sn.
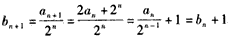
解:(Ⅰ)由已知an+1=2an+2n得
,
又b1=a1=1,
因此{bn}是首项为1,公差为1的等差数列.
(Ⅱ)由(Ⅰ)知
,即
,
Sn=1+2·21+3·22+…+n·2n-1,
两边乘以2,得2Sn=2+2·22+…+n·2n,
两式相减,得Sn=-1-21-22-...-2n-1+n·2n=-(2n-1)+n·2n= (n-1)2n+1。
又b1=a1=1,
因此{bn}是首项为1,公差为1的等差数列.
(Ⅱ)由(Ⅰ)知
Sn=1+2·21+3·22+…+n·2n-1,
两边乘以2,得2Sn=2+2·22+…+n·2n,
两式相减,得Sn=-1-21-22-...-2n-1+n·2n=-(2n-1)+n·2n= (n-1)2n+1。
练习册系列答案
相关题目