题目内容
i是虚数单位,复数A.1-i
B.1+i
C.-1+i
D.i
【答案】分析:复数的分子、分母同乘复数i,即可化简复数为a+bi(a,b∈R)的形式即可.
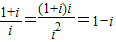
解答:解:
.
故选A
点评:本小题考查复数基本运算,考查计算能力,是基础题.
解答:解:
故选A
点评:本小题考查复数基本运算,考查计算能力,是基础题.
练习册系列答案
相关题目
已知i是虚数单位,复数z=
+i4的共轭复数
在复平面内对应点落在第( )象限.
| 1+i |
| 1-i |
. |
| z |
| A、一 | B、二 | C、三 | D、四 |
设i是虚数单位,复数z=tan45°-isin60°,则z2等于( )
A、
| ||||
B、
| ||||
C、
| ||||
D、
|
设i是虚数单位,复数
的虚部为( )
| 10 |
| 3-i |
| A、-i | B、-1 | C、i | D、1 |