题目内容
已知直线l经过点A(3,1),并且点P(-1,-2)到直线l的距离为4,求此直线l的方程.
【答案】分析:当直线l斜率存在时,设出点斜式并利用点到直线的距离公式算出l的方程为y=-
x+
;当直线与x轴垂直时,l方程为x=3也符合题意.由此即可得到此直线l的方程.
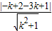
解答:解:设直线l的方程为y-1=k(x-3),即kx-y-3k+1=0
∵点P(-1,-2)到直线l的距离为4,
∴
=4,解之得k=-
得l的方程为y=-
x+
当直线与x轴垂直时,方程为x=3,点P(-1,-2)到直线l的距离也为4
∴直线l的方程的方程为x=3或y=-
x+
点评:本题求经过定点,且到定点的距离等于定长的直线l方程,着重考查了直线的方程、点到直线的距离公式等知识,属于基础题.
解答:解:设直线l的方程为y-1=k(x-3),即kx-y-3k+1=0
∵点P(-1,-2)到直线l的距离为4,
∴
得l的方程为y=-
当直线与x轴垂直时,方程为x=3,点P(-1,-2)到直线l的距离也为4
∴直线l的方程的方程为x=3或y=-
点评:本题求经过定点,且到定点的距离等于定长的直线l方程,着重考查了直线的方程、点到直线的距离公式等知识,属于基础题.
练习册系列答案
相关题目